점집합을 일반적인 2차 곡선으로 피팅하는 경우에 방정식은
$$ a x^2 + by^2 + cxy +d x + ey +f = 0$$
의 계수를 주어진 데이터를 이용하여서 구해야 한다. 실제 문제에서는 타원, 포물선 쌍곡 선등의 타입에 따라 몇 가지 제약 조건을 넣어 피팅을 한다. 원은 타원의 특별한 경우로 일반적으로 $a = b$, $c = 0$의 제약 조건이 필요하다. 그러나 보다 엄밀하게 제약을 하게 되면 $a = b = 1$의 추가 조건을 줄 수 있다. 이 경우는 점들이 모두 일직선에 있는 경우를 ($a = b = 0$) 취급할 수 없게 된다. 이 예외적인 경우를 제외하고는 최소자승법을 사용하면 계수를 매우 쉽게 구할 수 있기 때문에 많이 이용된다.
문제: 주어진 데이터를 fitting 하는 이차곡선(원)
$$x^2 + y^2 + A x + B y + C = 0$$
의 계수 $A, B, C$를 최소자승법을 사용해서 구하라.
주어진 점집합이 원 위의 점이면 우변이 0이 되어야 하나, 실제 데이터를 얻는 과정에서 여러 노이즈에 노출되므로 일반적으로 0이 되지 않는다. 최소자승법은 주어진 점들이 원에서 벗어나는 정도의 제곱 합이 최소가 되도록 하는 계수 $A, B, C$를 결정한다. 원과 점의 편차의 제곱합
$$ L=\sum_ i \left |x_i^2 + y_i^2 + A x_i + B y_i + C \right|^2 , $$
의 극값을 찾기 위해서 $A, B,$ 그리고 $C$에 대해 미분을 하면
$$\frac{\partial L}{\partial A} = 2 \sum_i (x_i^2 + y_i^2 + A x_i + B y_i + C) x_i = 0, $$
$$\frac{\partial L}{\partial B} = 2 \sum_i (x_i^2 + y_i^2 + A x_i + B y_i + C) y_i = 0, $$
$$\frac{\partial L}{\partial C} = 2 \sum_i (x_i^2 + y_i^2 + A x_i + B y_i + C) = 0. $$
이 연립방정식을 풀면 $A, B, C$를 구할 수 있다. 계산을 단순하게 만들고 수치적 안정성을 높이기 위해 입력점들의 질량중심
$$ m_x = \frac{1}{N} \sum_i x_i, \quad m_y = \frac{1}{N} \sum_i y_i$$
계에서 계산을 하자. 이를 위해 입력점의 $x$, $y$ 성분에서 각각 $m_x$, $m_y$만큼을 빼준 값을 좌표값으로 대입하면 된다:
$$ x_i \to x_i - m_x,\quad y_i \to y_i - m_y$$
그러면 질량중심 좌표계에서는 $S_x = \sum_i x_i =0$, $S_y= \sum_i y_i =0$이 된다.
우선 세 번째 식에서
$$ C = -\frac{S_{x^2} + S_{y^2}}{N} $$
을 얻을 수 있고, 첫번째와 두 번째 식에서는 각각
$$ S_{x^2} A + S_{xy} B = - (S_{x^3} + S_{xy^2}) $$
$$ S_{xy} A + S_{y^2} B = - (S_{y^3} + S_{x^2 y} )$$
을 얻을 수 있다. 이를 풀면
$$ A = \frac{- S_{y^2} ( S_{x^3} + S_{xy^2}) + S_{xy} (S_{y^3} + S_{x^2y}) }{ S_{x^2} S_{y^2} - S_{xy}^2 } $$
$$ B= \frac{-S_{x^2}(S_{y^3} + S_{x^2 y}) +S_{xy} (S_{x^3} + S_{xy^2}) }{S_{x^2} S_{y^2}- S_{xy}^2} $$
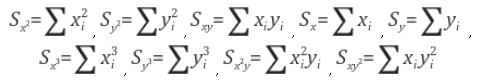
여기서 주어진 데이터의 각 차수에 해당하는 moment는 아래처럼 계산된다:

추정된 원의 중심 $(c_x, c_y)$는
$$ c_x = - \frac{A}{2}, \qquad c_y = - \frac{B}{2} $$
로 주어지고, 반지름은
$$r^2 = c_x^2 +c_y^2 - C = c_x^2 + c_y^2 + \frac{1}{N}( S_{x^2}+S_{y^2})$$
로 주어진다.
Ref: I. Kasa, A curve fitting procedure and its error analysis. IEEE Trans. Inst. Meas., 25:8-14, 1976
/* 구현 코드: 2024.04.01, typing error 수정 & 질량중심계 계산으로 수정;*/
double circleFit_LS(std::vector<CPoint> &Q, double &cx, double &cy, double &radius) {
if (Q.size() < 3) return -1;
double sx2 = 0.0, sy2 = 0.0, sxy = 0.0;
double sx3 = 0.0, sy3 = 0.0, sx2y = 0.0, sxy2 = 0.0;
double mx = 0, my = 0; /* center of mass;*/
for (int k = Q.size(); k-->0;)
mx += Q[k].x, my += Q[k].y;
mx /= Q.size(); my /= Q.size();
/* compute moments; */
for (int k = Q.size(); k-->0;) { /* offset (mx, my)*/
double x = Q[k].x - mx, xx = x * x;
double y = Q[k].y - my, yy = y * y;
sx2 += xx; sy2 += yy; sxy += x * y;
sx3 += x * xx; sy3 += y * yy;
sx2y += xx * y; sxy2 += yy * x;
}
double det = sx2 * sy2 - sxy * sxy;
if (fabs(det) < 1.e-10) return -1; /*collinear한 경우임;*/
/* center in cm frame; */
double a = sx3 + sxy2;
double b = sy3 + sx2y;
cx = (sy2 * a - sxy * b) / det / 2;
cy = (sx2 * b - sxy * a) / det / 2;
/* radius squared */
double radsq = cx * cx + cy * cy + (sx2 + sy2) / Q.size();
radius = sqrt(radsq);
cx += mx; cy += my; /* recover offset; */
return fitError(Q, cx, cy, radius);
}
Circle Fitting: Pratt
주어진 점집합을 원으로 피팅하기 위해 이차식$$A(x^2 + y^2) + Bx + Cy +D =0$$을 이용하자. 원의 경우는 $A=0$인 경우는 직선을 나타내고, $A\ne0$인 경우가 원을 표현한다. 물론 $A=1$로 설정을 할 수 있으
kipl.tistory.com
RANSAC: Circle Fit
RANSAC 알고리즘을 써서 주어진 2차원 점집합에서 원을 추정한다. 원을 만들기 위해서는 최소한 3점이 필요하고, 또 일직선에 있지 않아야 한다. 이렇게 만들어진 원은 세 점을 꼭짓점으로 하는 삼
kipl.tistory.com
'Image Recognition > Fundamental' 카테고리의 다른 글
| PCA Line Fitting (0) | 2020.11.12 |
|---|---|
| Histogram Equalization (0) | 2020.11.12 |
| Integer Sqrt (0) | 2020.11.11 |
| Parabolic Interpolation in Peak Finding (3) | 2020.11.10 |
| Histogram Matching (0) | 2012.11.03 |


